leetcode.com/problems/symmetric-tree/
Symmetric Tree - LeetCode
Level up your coding skills and quickly land a job. This is the best place to expand your knowledge and get prepared for your next interview.
leetcode.com
Given the root of a binary tree, check whether it is a mirror of itself (i.e., symmetric around its center).
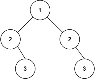
Example 1:

Input: root = [1,2,2,3,4,4,3] Output: true
Example 2:

Input: root = [1,2,2,null,3,null,3] Output: false
Constraints:
- The number of nodes in the tree is in the range [1, 1000].
- -100 <= Node.val <= 100
/**
* Definition for a binary tree node.
* public class TreeNode {
* int val;
* TreeNode left;
* TreeNode right;
* TreeNode() {}
* TreeNode(int val) { this.val = val; }
* TreeNode(int val, TreeNode left, TreeNode right) {
* this.val = val;
* this.left = left;
* this.right = right;
* }
* }
*/
class Solution {
public boolean isSymmetric(TreeNode root) {
return check(root.left, root.right);
}
public static boolean check(TreeNode left, TreeNode right){
if (left == null && right == null) return true;
else if (left == null || right == null) return false;
if (left.val == right.val) {
return check(left.right, right.left) && check(left.left, right.right);
}
else return false;
}
}
1. 어려웠던 점:
- 처음 Inorder로 트리 순회를 한 후, 좌 우 배열을 팰린드롬처럼 비교해주면 된다고 생각하였으나, 중간에 null값이 끼어있으면 null값 때문에 index가 알맞게 되지 않기 때문에 알고리즘이 유효하지 않다는 것을 알게 되었다. (ex. [1, 2, 2, 2, null, 2])
2. 알게된 점:
- 오랜만에 트리 문제를 풀며, 트리 순회 방식에 대해 다시 공부하였다. (비록 문제에는 안쓰였지만)
3. 알고리즘 풀이:
- 재귀적으로 트리의 left, right를 확인하여 결과값을 도출해낸다.
null 처리를 먼저 해주어야 하는데 나중에 val값을 참조할 때, 에러가 되기 때문이다.
좌, 우 모두 null이라면 참이고, 둘 중 하나만 null이라면 거짓이다.
null 처리가 끝난 후에는 두 값이 같은 지 확인해준다.
첫 시작은 root였기 때문에 root의 left,right를 비교해주지만,
그 다음 비교값은 left의 right 와 right 의 left, left의 left와 right의 right이 된다.
'알고리즘 문제풀이 > LeetCode' 카테고리의 다른 글
| [LeetCode 104] Maximum Depth of Binary Tree with JAVA (0) | 2021.04.25 |
|---|---|
| [LeetCode 200] Numbers of Islands with JAVA (0) | 2021.04.25 |
| [LeetCode 114] flatten-binary-tree-to-linked-list with JAVA (0) | 2021.04.17 |
| [LeetCode 20] Valid Parentheses with JAVA (0) | 2021.04.11 |
| [LeetCode 647] Palindromic Substrings with JAVA (BruteForce) (0) | 2021.04.10 |